Предмет: Математика,
автор: Ифигения
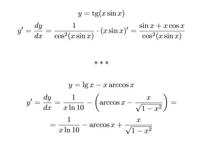
Найдите производные dy/dx заданных функций
Приложения:
Ответы
Автор ответа:
0
Все производные в данном случае табличны, применяется только их комбинация и правила действий над производными.
Приложения:
Похожие вопросы
Предмет: Русский язык,
автор: вппасс
Предмет: Русский язык,
автор: margoamosowa
Предмет: Русский язык,
автор: кокон2
Предмет: Геометрия,
автор: Аноним
Предмет: Математика,
автор: sanfransece