Предмет: Математика,
автор: fastranner
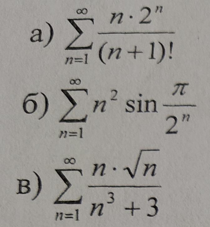
Исследовать ряд на сходимость:
Приложения:
zuriatagabekova:
1-сх
Ответы
Автор ответа:
1
Ответ:
Пошаговое объяснение:
Приложения:
Спасибо!
Похожие вопросы
Предмет: Русский язык,
автор: математика20161
Предмет: Русский язык,
автор: kavas000
Предмет: Русский язык,
автор: 76543202
Предмет: Физика,
автор: Астали16
Предмет: Алгебра,
автор: maricherkes