Предмет: Математика,
автор: AlexMedv
Помогите пожалуйста решить эти три задания.
Приложения:
Ответы
Автор ответа:
0
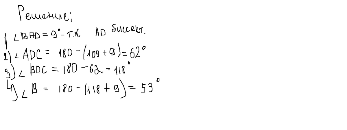
задание 3
я конечно не уверена , что правильно. Но может и правильно.
Если что то не понятно, я разъясню :D
я конечно не уверена , что правильно. Но может и правильно.
Если что то не понятно, я разъясню :D
Приложения:
Автор ответа:
0
B4 280*0.15=42
450*0.1=45
215*0.2=43
ответ:45
В4 -3x-7=2^5
-3x-7=32
-3x=32+7
-3x=39
x= -13
B6 угол BAC=9+9=18
угол В=180-(18+109)=53
450*0.1=45
215*0.2=43
ответ:45
В4 -3x-7=2^5
-3x-7=32
-3x=32+7
-3x=39
x= -13
B6 угол BAC=9+9=18
угол В=180-(18+109)=53
Приложения:
Похожие вопросы
Предмет: Химия,
автор: avagolub
Предмет: Русский язык,
автор: Аноним
Предмет: Химия,
автор: anelkuanysbaeva
Предмет: Физика,
автор: albinochka700