Предмет: Физика,
автор: albinochka700
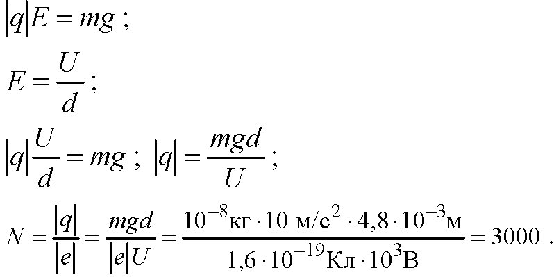
Между двумя пластинами, расположенными горизонтально в вакууме на расстоянии 4,8 мм друг от друга, находится в равновесии отрицательно заряженная капелька масла массой 10 нг. Сколько "избыточных" электронов имеет капелька, если на пластины подано напряжение 1 кВ?
Ответы
Автор ответа:
0
на картинке всё найдешь:))
Приложения:
Похожие вопросы
Предмет: Қазақ тiлi,
автор: axmet131204
Предмет: Қазақ тiлi,
автор: aliabakubaeva1
Предмет: История,
автор: DavidGolubev
Предмет: Химия,
автор: Rizzo
Предмет: Информатика,
автор: Аноним