Предмет: Алгебра,
автор: Nurzhan94
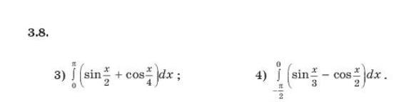
Помогите решить ................................
Приложения:
Ответы
Автор ответа:
0
ответ ниже во вложении:
Приложения:
Похожие вопросы
Предмет: Русский язык,
автор: malevannya02
Предмет: Русский язык,
автор: Аноним
Предмет: Русский язык,
автор: марсель30
Предмет: Другие предметы,
автор: awdawd91
Предмет: Математика,
автор: Аноним