Предмет: Математика,
автор: frash279
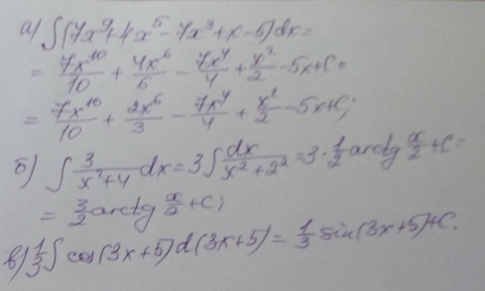
Помогите пожалуйста решить математику.
Приложения:
Ответы
Автор ответа:
1
Відповідь:
Покрокове пояснення:
Приложения:
Похожие вопросы
Предмет: Английский язык,
автор: катя89562
Предмет: Русский язык,
автор: krutovtsev
Предмет: Русский язык,
автор: Немо3112
Предмет: Русский язык,
автор: Timur1291