Предмет: Математика,
автор: frash279
Помогите пожалуйста решить математику.
Приложения:
Ответы
Автор ответа:
1
Пошаговое объяснение:
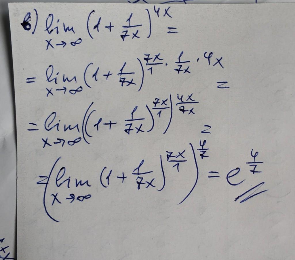
решение во вложении.....
Приложения:
Похожие вопросы
Предмет: Русский язык,
автор: krutovtsev
Предмет: Русский язык,
автор: Немо3112
Предмет: Английский язык,
автор: Emily2015
Предмет: Математика,
автор: svetlaantonova
Предмет: Математика,
автор: yh6h6h