Предмет: Геометрия,
автор: milasik15
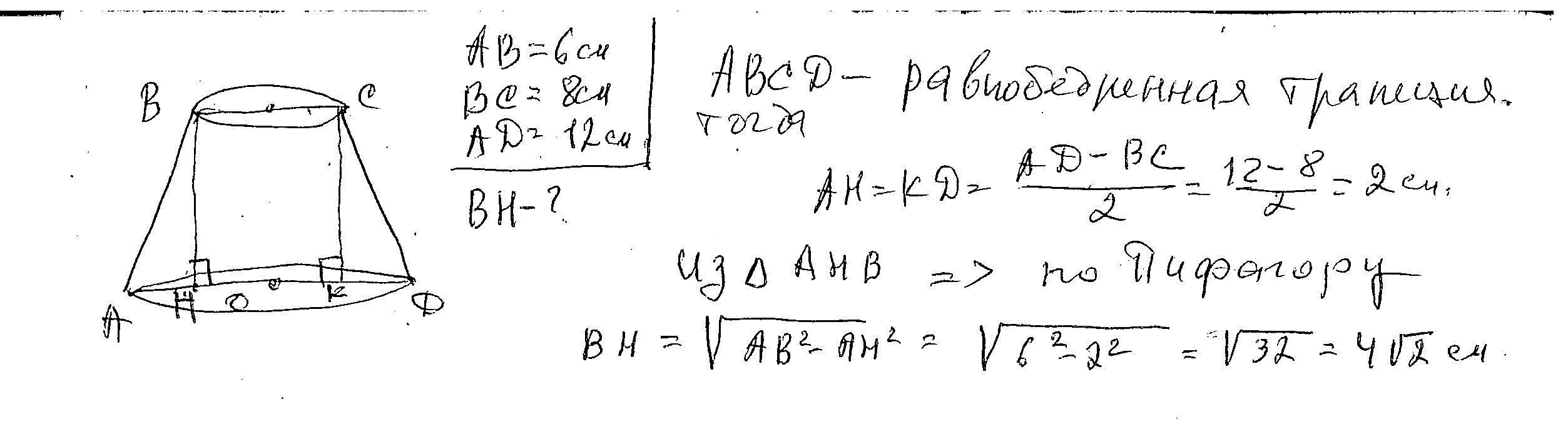
Образующая усеченного конуса равна 6 см, диаметры оснований 8 см и 12 см. Определите высоту үсеченного конуса
Ответы
Автор ответа:
0
Ответ: cм
Объяснение:
во вложении
Приложения:
Похожие вопросы
Предмет: Русский язык,
автор: ГлагОЛ777
Предмет: Русский язык,
автор: ritahhh
Предмет: Окружающий мир,
автор: alisaalis2016
Предмет: Русский язык,
автор: Mykoleko