Предмет: Математика, автор: marinasagina

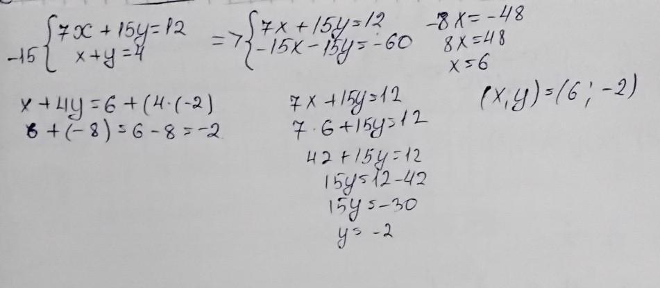
Х + 4У, \left \{ {{7x+15y=12} \atop {x+y=4}} \right.

Ответы

Автор ответа: Fireworld40
0

Ответ:

ответ дан на фотографии

Приложения:
Похожие вопросы
Предмет: Математика, автор: Аноним
Предмет: Алгебра, автор: adamova77
Предмет: Математика, автор: dfomencoovv6cn
Предмет: Английский язык, автор: ksushademidova789