Предмет: Алгебра,
автор: kittyrulit228
СРОЧНОООО!!!
Реши уравнение 36x+36−x3−x2=0.
x1=
;x2=
;x3=
.
(Запиши корни уравнения в окошках в порядке возрастания.)
Реши уравнение:
(3x−3)2−(x−20)2=0.
(Первым впиши меньший корень. Если значение корня — дробь, то ответ запиши в виде десятичной дроби.)
Ответ:
x1=
;x2=
Реши уравнение:
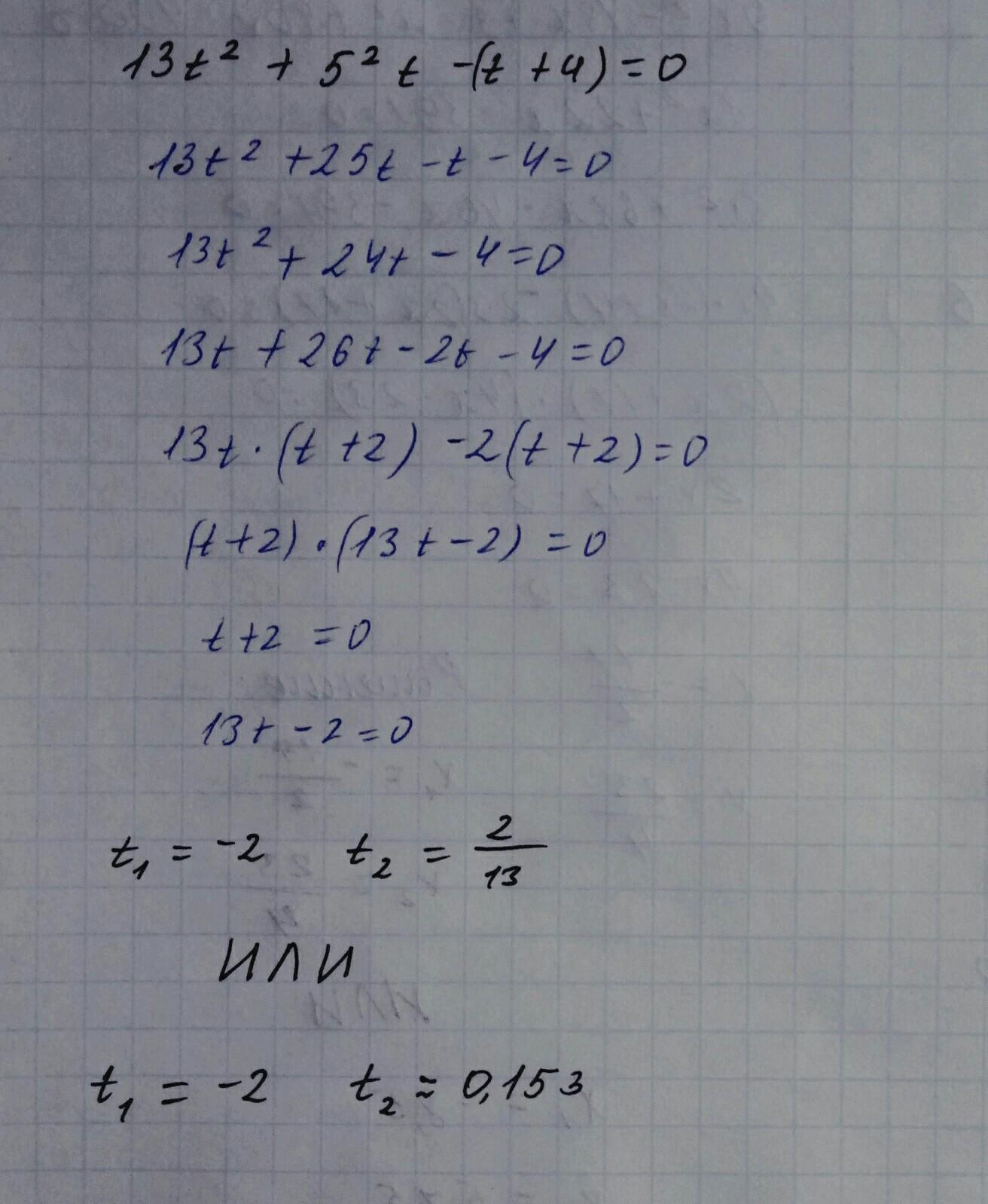
13t2+52t−(t+4)=0.
Корни уравнения
t1=
;t2=
.
Разложи на множители:
2x4v2−16xv5.
Выбери правильный ответ:
другой ответ
2xv2⋅(x−2v)⋅(x2+4xv+4v2)
2xv2⋅(x−2v)⋅(x2+2xv+4v2)
2xv2⋅(x+2v)⋅(x2−2xv+4v2)
2xv2⋅(x−2v)⋅(x+2v)
Ответы
Автор ответа:
1
Ответ:
во вложений
.............
Приложения:
Похожие вопросы
Предмет: Математика,
автор: Spin3Ql
Предмет: Физика,
автор: alexrenegat201
Предмет: Математика,
автор: Dan1212121
Предмет: Английский язык,
автор: Dashuli11
Предмет: Алгебра,
автор: sjdbdhdj