Предмет: Математика, автор: kosharamobs

рівняння з фотографії​

Приложения:

kosharamobs: там ще на прямій позначити потрібно
kosharamobs: просто лінь
kosharamobs: фото над текстом
kosharamobs: Ти мне или я тебе?
kosharamobs: помочь

Ответы

Автор ответа: abdullaevaayshe
2

Пошаговое объяснение:

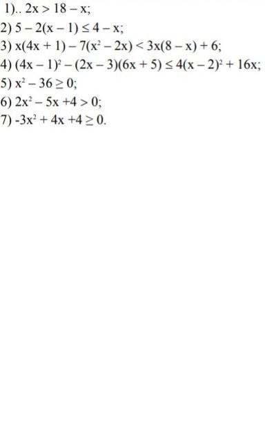
2x>18-x

2x+x>18

3x>18

X>18/3

X>6

5-2(x-1)<=4-x

5-2x+2+x<=4

-2x+x<=4-5-2

-x<=-3

X>=3

X(4x+1)-7(x²-2x)<3x(8-x)+6

4x²+1-7x²+14x<21x-3x²+6

4x2-7x2 +3x2-14x-21x<6-1

-25x<5

X>-5

X2-36>=0

X2>=36

X>=±6

(4x-1)²-(2x-3)(6x+5)<=4(x-2)²+16x

16x²-8x+1-(12x²+10x-18x-15)<=4(x2-4x+4)+16x

16x2-8x-12x2-10x+18x-4x2+16x-16x<=16-1-15

Т. К. всё сократиться

Решений нет

2x2-5x+4>0

2x2-5x+4=0

D=25-32=-7

решений нет

-3x2+4x+4>=0(:-1)

3x2-4x-4>=0

3x2-4x-4=0

D=16+12*4=16+48=64

\|¯64=8

x1=4+8/6=2

x2=4-8/6=-4/6=-2/3=-0,(6)


abdullaevaayshe: извиняюсь, не заметила)
kosharamobs: я ошибки вижу. ничего
abdullaevaayshe: хорошо, что заметил. ещё раз извини
kosharamobs: я то отличник по алгебре и геометрии. завтра мне в школу а я долги доделываю(дз дофига)
kosharamobs: просто было лень
abdullaevaayshe: можешь с чем-то ещё помочь?
abdullaevaayshe: может*
abdullaevaayshe: я тебе
kosharamobs: нет спасибо... Я справился с тем что надо было
abdullaevaayshe: хорошо)
Похожие вопросы
Предмет: Математика, автор: kunia8066813413
Предмет: Английский язык, автор: кiki