Предмет: Математика,
автор: ayhgqxcy
Моя голова просто хрясь
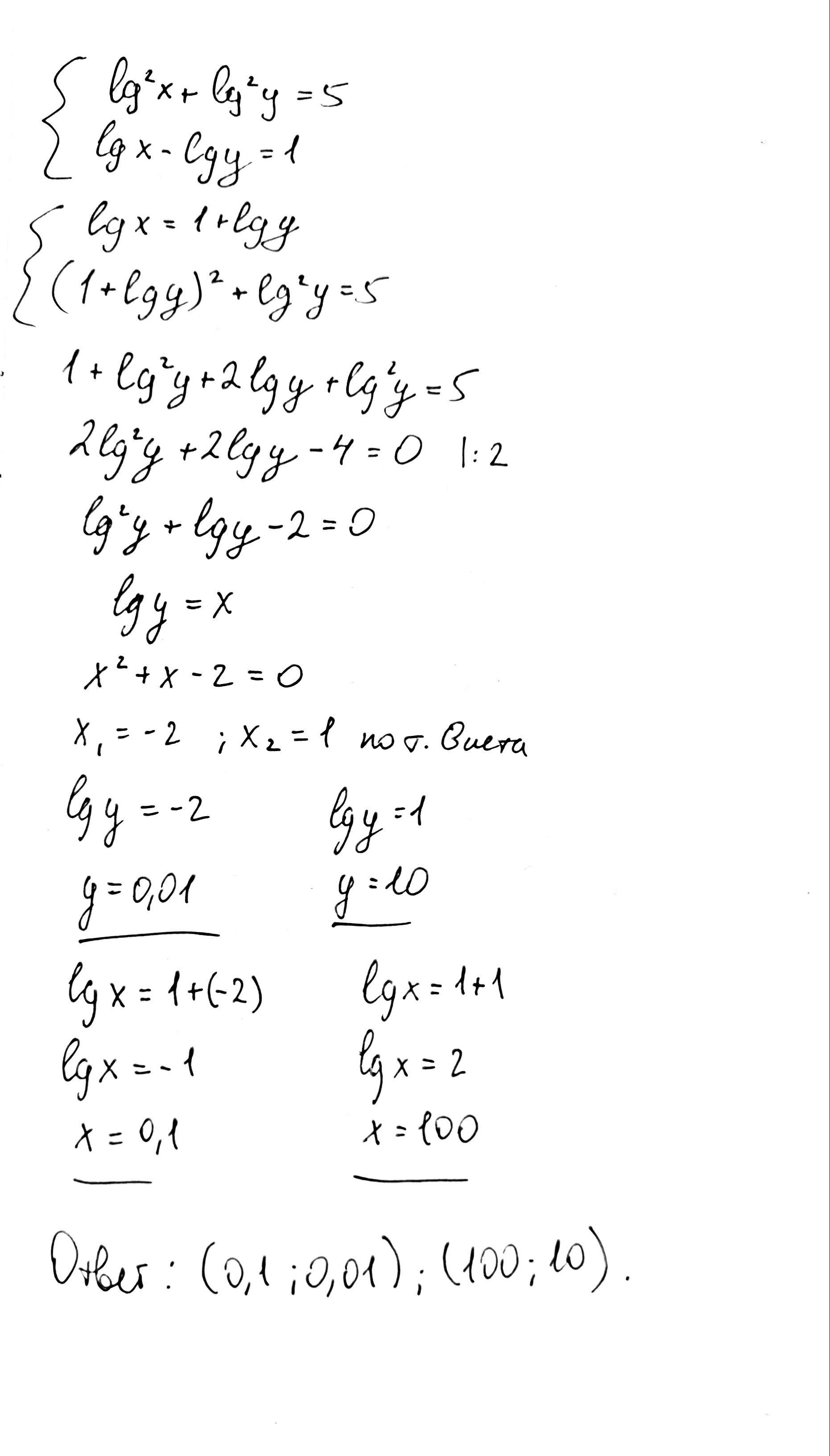
Надо решить система уравнений на множестве RxR
ОГРОМНОЕ СПАСИБО за ваши ответы )
Приложения:
Ответы
Автор ответа:
1
Ответ:
Пошаговое объяснение: добавляю)
Приложения:
Похожие вопросы
Предмет: Русский язык,
автор: окружайшимир
Предмет: Геометрия,
автор: vovak99
Предмет: Обществознание,
автор: афанасьеванаталья
Предмет: Физика,
автор: ulyaskorina
Предмет: Математика,
автор: Natasha28071