Предмет: Математика,
автор: Аноним
Тема : Визначені інтеграли
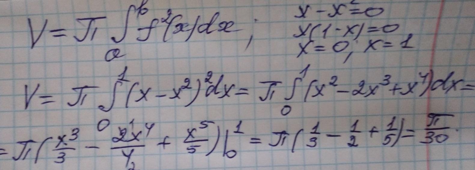
Обчислити об’єм тіла утворених обертанням фігури яка обмежена лініями
y=x-x^2 , x=0 навколо прямої x=2
Ответы
Автор ответа:
0
Ответ:
Pi/30
Пошаговое объяснение:
Приложения:
Похожие вопросы
Предмет: История,
автор: volodinasa
Предмет: Физика,
автор: Magistor15
Предмет: Английский язык,
автор: Софья551
Предмет: Физика,
автор: danyalekseev8p3cyjs