Предмет: Математика, автор: vanilllkaaa

Help pls/// Найти область определения функций, знайти область визначення функціц​

Приложения:

Ответы

Автор ответа: Miroslava227
1

Ответ:

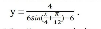
6 \sin(  \frac{x}{4}  +  \frac{\pi}{12}  )  - 6\ne0 \\  \sin( \frac{x}{4} +  \frac{\pi}{12}  ) \ne1 \\  \frac{x}{4}  +  \frac{\pi}{12} \ne \frac{\pi}{2} + 2 \pi \: n \\  \frac{x}{4} \ne   \frac{5\pi}{12} + 2 \pi \: n \\ D(y):x \ne \frac{5\pi}{3}  + 8\pi \: n \\ n\in \: Z

Похожие вопросы