Предмет: Алгебра,
автор: gsdfsagljk
помогите пожалуйста.
Приложения:
Ответы
Автор ответа:
1
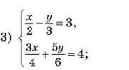
Ответ:
x=23/4 y=-3/8 надеюсь помог
Приложения:
Похожие вопросы
Предмет: Українська мова,
автор: balyaktanya
Предмет: Русский язык,
автор: mamaliga19
Предмет: Английский язык,
автор: kalaev1976
Предмет: Окружающий мир,
автор: ДиМаС0
Предмет: Биология,
автор: yrysgul01