Предмет: Алгебра, автор: lolika14789

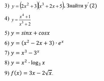
Знайти похідні заданих функцій:

Приложения:

Ответы

Автор ответа: Miroslava227
1

Ответ:

3.

y' = (2 {x}^{2}  + 3)'(  {x}^{3}  + 2x + 5) + ( {x}^{3}  + 2x + 5)'(2 {x}^{2}  + 3) =  \\  = 4x( {x}^{3}  + 2x + 5) + (3 {x}^{2}  + 2)(2 {x}^{2}  + 3) =  \\  = 4 {x}^{4}  + 8 {x}^{2}  + 20x  + 6 {x}^{4}  + 9 {x}^{2}  + 4 {x}^{2}  + 6 =  \\  = 10 {x}^{4}  + 21 {x}^{2}  + 20x + 6

y(2) = 10 \times 16 + 21 \times 4 + 20 \times 2 + 6 =  \\  = 160 + 84 + 46 = 290

4.

y' =  \frac{( {x}^{4}  + 1)'({x}^{3}  + 2) - ( {x}^{3} + 2)'( {x}^{4} + 1)  }{ {( {x}^{3}  + 2)}^{2} }  =  \\  =  \frac{4 {x}^{3} ( {x}^{3} + 2) - 3 {x}^{2} ( {x}^{4}   + 1)}{ {( {x}^{3}  + 2)}^{2} }  =  \\  =  \frac{4 {x}^{6}  + 8 {x}^{3} - 3 {x}^{6}  - 3 {x}^{2}  }{ {( {x}^{3}  + 2)}^{2} }  =  \frac{ {x}^{6} + 8 {x}^{3}  - 3 {x}^{2}  }{ {( {x}^{3}  + 2)}^{2} }

5.

y '=  \cos(x)  -  \sin(x)

6.

y' = ( {x}^{2}  - 2x + 3)'e {}^{x} + ( e {}^{x})' ( {x}^{2}  - 2x + 3) =  \\  = (2x - 2) {e}^{x}  + e {}^{x} ( {x}^{2}  - 2 x+ 3) =  \\  =  {e}^{x} ( {x}^{2}  + 1)

7.

y' = 3 {x}^{2}  -  ln(3)  \times  {3}^{x}

8.

y '= 2x log_{3}(x)  +  \frac{ {x}^{2} }{ ln( 3) \times x }  =  \\  = 2x log_{ 3}(x)  +  \frac{x}{ ln(3) }

9.

f'(x) = 3 - 2 \times  \frac{1}{2}  {x}^{ -  \frac{1}{2} }  = 3 -  \frac{1}{ \sqrt{x} }  \\

Похожие вопросы
Предмет: Английский язык, автор: Lerusechka12
Добрый вечер, помогите пожалуйста, очень прошу.
Read the dialogues and choose the correct idiom A–L from the list. Two idioms on the list are extra.
1. Poor Jack! He is dominated by his mother. – Yes, he ………………
2. Be an optimist! The more things happen to you, the more you will learn. – I agree with you. ……………..
3. Chris took after his father. The father and his son resemble each other. – That’s it. ………………….
4. I have never seen so many people at the rock festival. – Yes, you’re right. There came …………………… .
5. I can’t learn this poem by heart! I’m going to get a bad mark tomorrow! – Don’t be upset! Keep on learning: ……………… .
6. In every difficult situation, when Brian needs to do something he is forced to find ways how to do it. – It’s quite natural! ……………. .
7. Everybody knows that Jim is greedy and unreliable. He is the least person I’d like to make friends with. – Sure. He is …………….. .
8. Poor Mel! There are so many things that can make her cry. – I can’t but agree with you. She is …………… .
9. In some countries there are organizations that watch people all the time, trying to control everything they say and do. – That’s true. …………. is watching you!
10. Bill is again in trouble. But how can I be responsible for his doings! ………… .

Варианты ответов:
A. a weak sister
B. founding father
C. I’m not my brother’s keeper
D. Experience is the mother of wisdom.
E. Everybody and his mother
F. Diligence is the mother of good luck.
G. a sob sister
H. Big Brother
I. is tied to his mother’s apron strings.
J. Like father, like son.
K. country cousin
L. Necessity is the mother of invention.