Предмет: Математика,
автор: Аноним
решите пошагово
все три
даю 20 баллов
Приложения:
Ответы
Автор ответа:
0
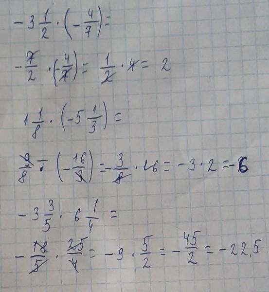
Ответ:
........................
Приложения:
Похожие вопросы
Предмет: Русский язык,
автор: фантом131
Предмет: Английский язык,
автор: chemax337
Предмет: Русский язык,
автор: Masha002345
Предмет: Математика,
автор: Harobike