Предмет: Алгебра, автор: anastasiaburaga88

помогите с последним, пожалуйста!!

Приложения:

Ответы

Автор ответа: ivankorobejnikov21
1

Ответ:

.........................................

Приложения:

anastasiaburaga88: огромное спасибо, все поняла!!
maks1998ivan: Молодец)
Автор ответа: maks1998ivan
1

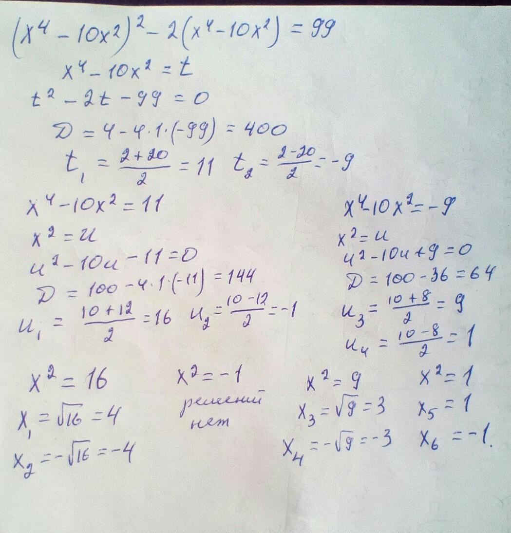
1)x^4-10x^2 заменим на y

y^2-2y-99=0

D = b^2 - 4ac = (-2)2 - 4·1·(-99) = 4 + 396 = 400

y1 =   (2 - √400) / (2·1)  =   (2 - 20)/ 2  =   -18/2  = -9

y2 =   (2 + √400) / (2·1)  =   (2 + 20)/ 2  =   22/2  = 11

2) x^4-10x^2=-9  x^4 = z^2 ; x^2 = z

z^2-10z=-9

D = b^2 - 4ac = (-10)2 - 4·1·9 = 100 - 36 = 64

x1 =   (10 - √64) / (2·1)  =   (10 - 8) / 2  =   2/2  = 1

x2 =   (10 + √64) /  (2·1)  =   (10 + 8) / 2  =   18/2  = 9

x^2= 1; -1

X^2= -3; 3

3)x^4-10x^2=11

x^4= t^2; x^2=t

t^2-10t-11=0

D = b^2 - 4ac = (-10)2 - 4·1·(-11) = 100 + 44 = 144

t1 =   (10 - √144) / 2·1  =   (10 - 12) / 2  =   -2/2  = -1

t2 =   (10 + √144) / 2·1  =   (10 + 12) / 2  =   22/2  = 11

x^2= x∉R

x^2 = \sqrt{11}

Відповідь: x1=x∉R, x2=-3, x3=-1, x4=1, x5=3, x6=\sqrt{11}

Надіюсь допоміг))

Похожие вопросы