Предмет: Алгебра, автор: nastapak044

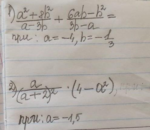
на фото
помогите пожалуйста​

Приложения:

Ответы

Автор ответа: sangers1959
1

Объяснение:

1)\\\frac{a^2+8b^2}{a-3b}+\frac{6ab-b^2}{3b-a}= \frac{a^2+8b^2}{a-3b}-\frac{6ab-b^2}{a-3b}= \frac{a^2-6ab+9b^2}{a-3b}=\frac{a^2-2*a*3b+(3b)^2}{a-3b} =\\= \frac{(a-3b)^2}{a-3b} =a-3b=-4-3*(-\frac{1}{3})=-4+1=-3.\\2)\\\frac{a}{(a+2)^2}*(4-a^2)=- \frac{a}{(a+2)^2}*(a^2-4)=-\frac{a*(a+2)*(a-2)}{(a+2)^2} =-\frac{a*(a-2)}{a+2}=\\=\frac{a*(2-a)}{a+2}  =\frac{-1,5*(2-(-1,5)}{-1,5+2}  =\frac{-1,5*(2+1,5)}{0,5}=\frac{-1.5*3,5}{0,5}=-1,5*7=-10,5.


nastapak044: спасибо вам огромное
sangers1959: Удачи.
Похожие вопросы
Предмет: Русский язык, автор: lawrowafialka