Предмет: Химия,
автор: nikbeikoll
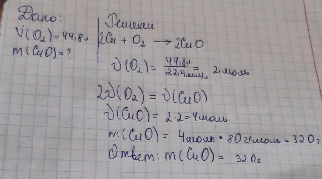
Найти массу(m) оксида меди(11) (CuO), образовавшегося при взаимодействии кислорода(О2), объём (V) которого равен 44,8л, с медью
Ответы
Автор ответа:
2
Ответ:
320г
Объяснение:
решение на фото.........
Приложения:
nikbeikoll:
Спасибо!!!
Похожие вопросы
Предмет: Українська мова,
автор: анютка457
Предмет: Другие предметы,
автор: нияз7
Предмет: Русский язык,
автор: Аноним
Предмет: Математика,
автор: Dyraчok
Предмет: Химия,
автор: СуперУмник11111020