Предмет: Математика,
автор: SmartBaba268
Помогите пожалуйста!! Срочно!!!
Приложения:
Ответы
Автор ответа:
1
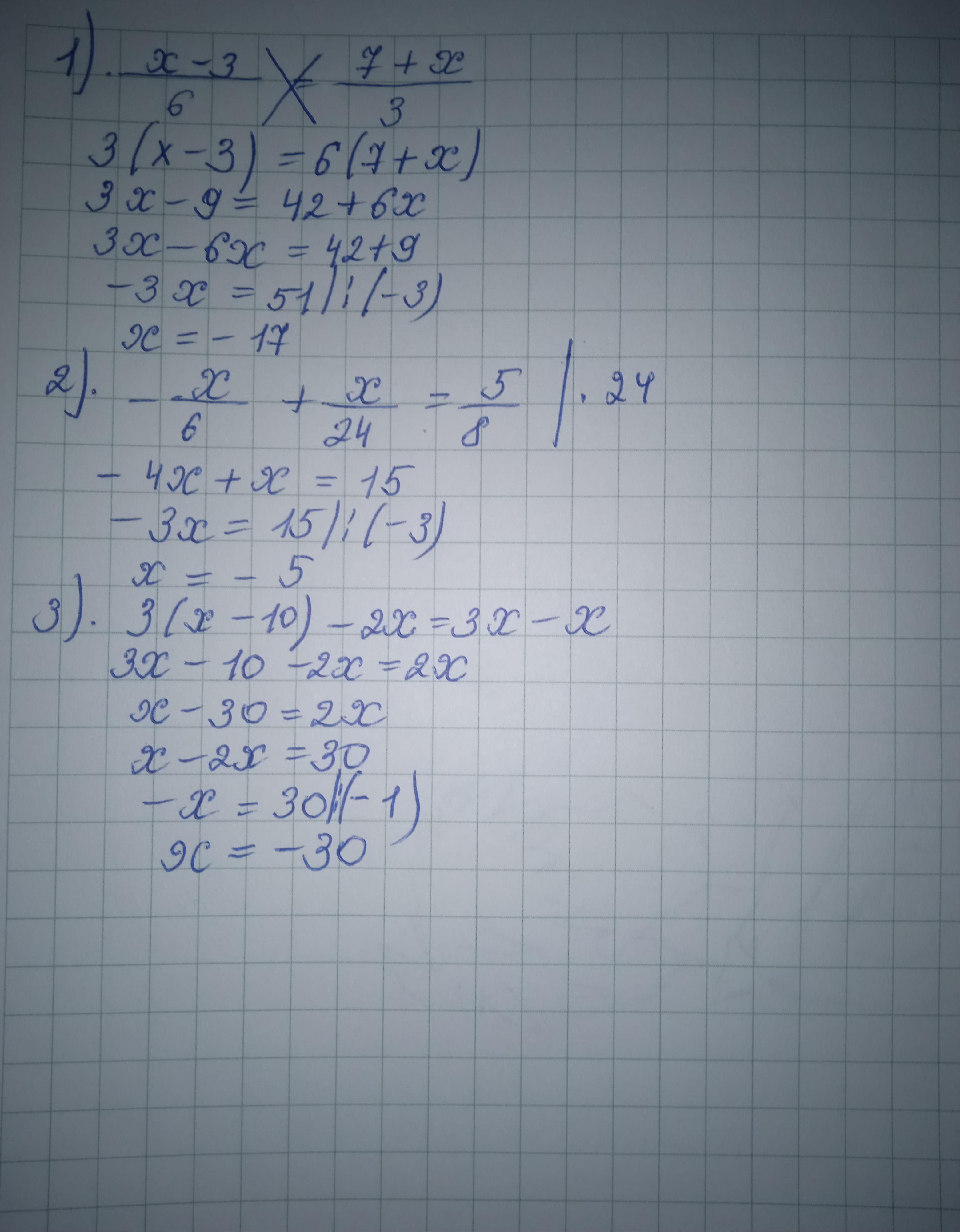
Ответ:
Пошаговое объяснение:
Приложения:
Похожие вопросы
Предмет: Русский язык,
автор: zinohka
Предмет: Русский язык,
автор: Milana2003UK
Предмет: Английский язык,
автор: Лерчик1225
Предмет: Математика,
автор: Аноним