Предмет: Алгебра, автор: kozodaevaulia1

решите неравенство Log0,3(x-1)+log0,3(x+1)>log0,3(2x-1)

Ответы

Автор ответа: Lovelesss
0

Ответ:

Вот, удачи))

Объяснение:

Приложения:

kozodaevaulia1: в photomath я могу и сама набрать
Автор ответа: sangers1959
0

Объяснение:

log_{0,3}(x-1)+log_{0.3}(x+1)>log_{0,3}(2x-1)\\

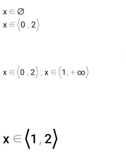
ОДЗ: х-1>0    x>1     x+1>0     x>-1     2x-1>0      x>0,5      ⇒       x∈(1;+∞).

log_{0,3}((x-1)*(x+1))>log_{0,3}(2x-1)\\log_{0,3}(x^2-1)>log_{0,3}(2x-1)\\0,3<1\ \ \ \ \Rightarrow\\x^2-1<2x-1\\x^2<2x\\x^2-2x<0\\x*(x-2)<0.

-∞__+__0__-__2__+__+∞

x∈(0;2)

Учитывая ОДЗ:

Ответ: х∈(1;2).


kozodaevaulia1: спасибо
Похожие вопросы