Предмет: Алгебра,
автор: Smetankaakk
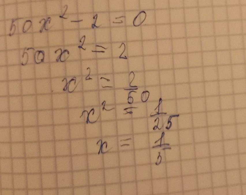
50х^2 – 2 = 0
помогите
Ответы
Автор ответа:
0
Объяснение:
На фото Все есть удачи Если что обращайся помогу чем смогу СДЕЛАЙ ЛУЧШИМ
Приложения:
Похожие вопросы
Предмет: Русский язык,
автор: dashenka2007
Предмет: Русский язык,
автор: denvadim2003
Предмет: Русский язык,
автор: arminegrigoryan1977
Предмет: История,
автор: 38006544
Предмет: Литература,
автор: 1БоссМолокосос1