Предмет: Алгебра,
автор: cotownickita20
Помогите 629 номер,С РЕШЕНИЕМ!!!
Приложения:
Ответы
Автор ответа:
0
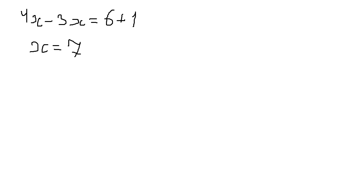
Получится вот так :)
Приложения:
Автор ответа:
0
6+3x=4x-1
-4x+3x=-7-1
-1x=-8
x=8
-4x+3x=-7-1
-1x=-8
x=8
Приложения:
Автор ответа:
0
а ничего, что у тебя написано 6, а переносишь ты 7???
Автор ответа:
0
я вижу.
Похожие вопросы
Предмет: Химия,
автор: mateshaotstoi
Предмет: Математика,
автор: Аноним
Предмет: Математика,
автор: nuralemkalybek9
Предмет: Обществознание,
автор: Frenny1015
Предмет: Алгебра,
автор: RedBaron