Предмет: Математика,
автор: lovalova2216
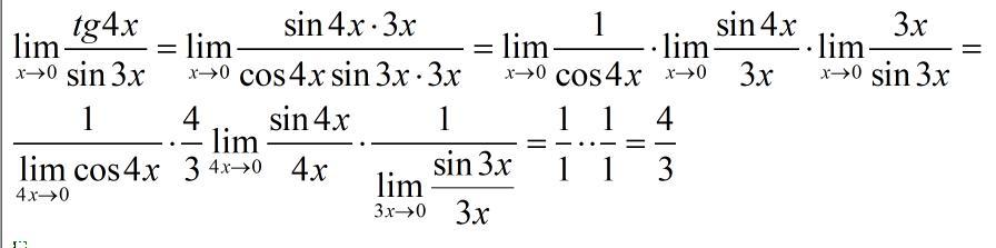
Найдите прeдел функции:
Lim (x-->0) tg4x/sin3x
Ответы
Автор ответа:
1
Ответ:
4/3
Пошаговое объяснение:
/////////////////////////
Приложения:
lovalova2216:
Спасибо большое!
Похожие вопросы
Предмет: Русский язык,
автор: Аноним
Предмет: Русский язык,
автор: marishaa83
Предмет: Русский язык,
автор: belal01
Предмет: Математика,
автор: Аппрыоти
Предмет: Математика,
автор: Desraption