Предмет: Химия,
автор: СвятойДимитрий
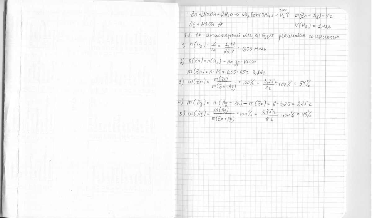
На 6 г смеси цинка и серебра подействовали раствором щелочи.Выделилось 1,12 л газа.Каковы массовые доли металлов в смеси?
Ответы
Автор ответа:
0
...............................................
Приложения:
Похожие вопросы
Предмет: Математика,
автор: aselzero1990
Предмет: Музыка,
автор: Аноним
Предмет: Алгебра,
автор: Asunamolnia
Предмет: Химия,
автор: Яна258147