Предмет: Алгебра,
автор: zefirkaunikorn
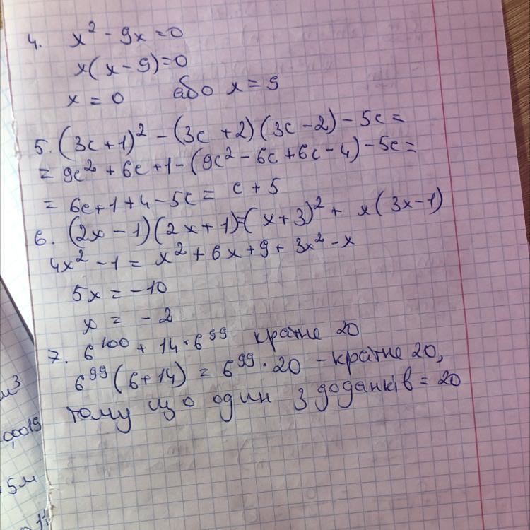
Пжж помогите всьо на фото 4,5,6,7 кто может ???
Приложения:
Ответы
Автор ответа:
1
ответ ко всем заданиям на фото
Приложения:
Похожие вопросы
Предмет: Английский язык,
автор: ДашаZollo
Предмет: Русский язык,
автор: aikakuzya
Предмет: Другие предметы,
автор: 42103005076
Предмет: Литература,
автор: Aizada111111
Предмет: Литература,
автор: nastasushka123498765