Предмет: Математика,
автор: Аноним
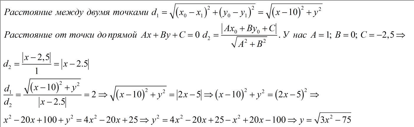
Составить уравнение геометрического места точек, отношение расстояний которых до данной точки A(10;0) и до данной прямой x=2.5 е равно 2. Полученное уравнение привести к простейшему виду и затем построить кривую.
Ответы
Автор ответа:
2
Ответ:
Пошаговое объяснение:
/////////////////////////////////////////
Приложения:
Похожие вопросы
Предмет: Русский язык,
автор: asfffffffdfgh
Предмет: Қазақ тiлi,
автор: heisenberg7361
Предмет: Окружающий мир,
автор: 3315
Предмет: Алгебра,
автор: Apтeмкa
Предмет: Математика,
автор: alsaid