Предмет: Физика,
автор: ilya282o
Яблоко подвешено на вертикальной нити, образуя простой маятник. Яблоко отклоняют в сторону, а затем отпускают. Оно совершает 10 колебаний за 12 секунды. Найдите длину нити. ПОМОГИТЕ ПЖЖ
Ответы
Автор ответа:
7
Ответ:
Объяснение:
Решение
Приложения:
ilya282o:
спасибо огромное
Автор ответа:
4
Мы можем пользоваться знаниями не о простом, а математическом маятнике. Нить длинная, нерастяжимая, шарик маленький и тяжелый. Угол отклонения от вертикали оч. маленький. В школе при длине нити 1,2 м (штатив на столе) амплитуда колебаний 8-10 см.
_______________________________________________
Тогда период (время одного полного колебания)
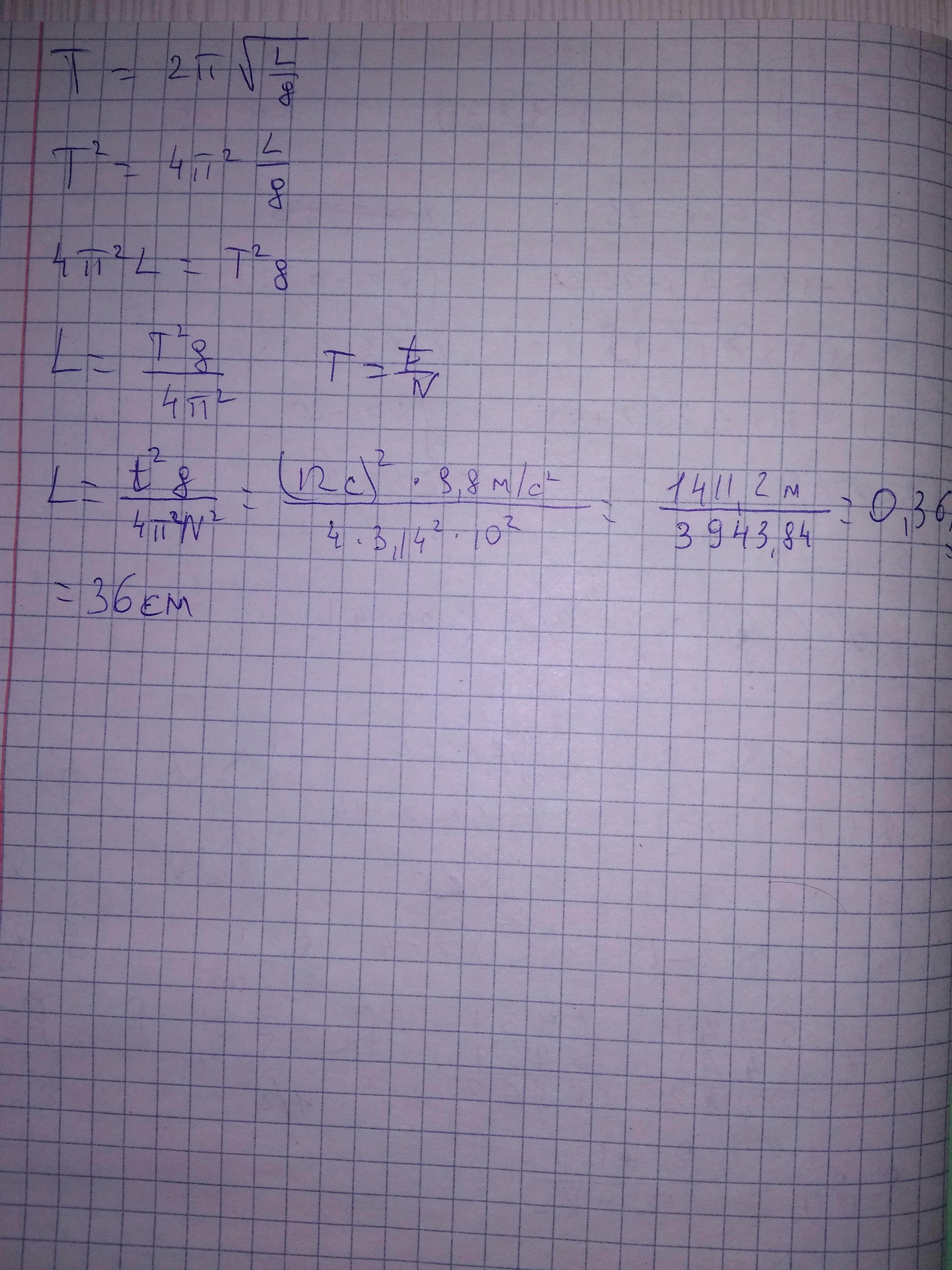
Т=2π√(L/g)
Найдем Т. Т=t/n=12/10=1,2 c
1,2=2*π*√(L/10)
0,6=π√(L/10)
0,6²=π²*L/10 π²≈10
L=0,6²
L=0,36 м=36 см.
Это ответ.
спасибо
можешь помочь с этим: по какой формуле можно рассчитать потенциальную энергию пружинного маятника
уже не надо спасибо)
извините но вы не так поняли я вас не посылал!
а ну да теперь понял)
а правильно у тебя или у Камиллы?
Похожие вопросы
Предмет: Английский язык,
автор: inquisitor32
Предмет: Русский язык,
автор: 666Love666
Предмет: Русский язык,
автор: golenkova1
Предмет: Українська література,
автор: ParkMinHwa778