Предмет: Геометрия,
автор: djpsyh00
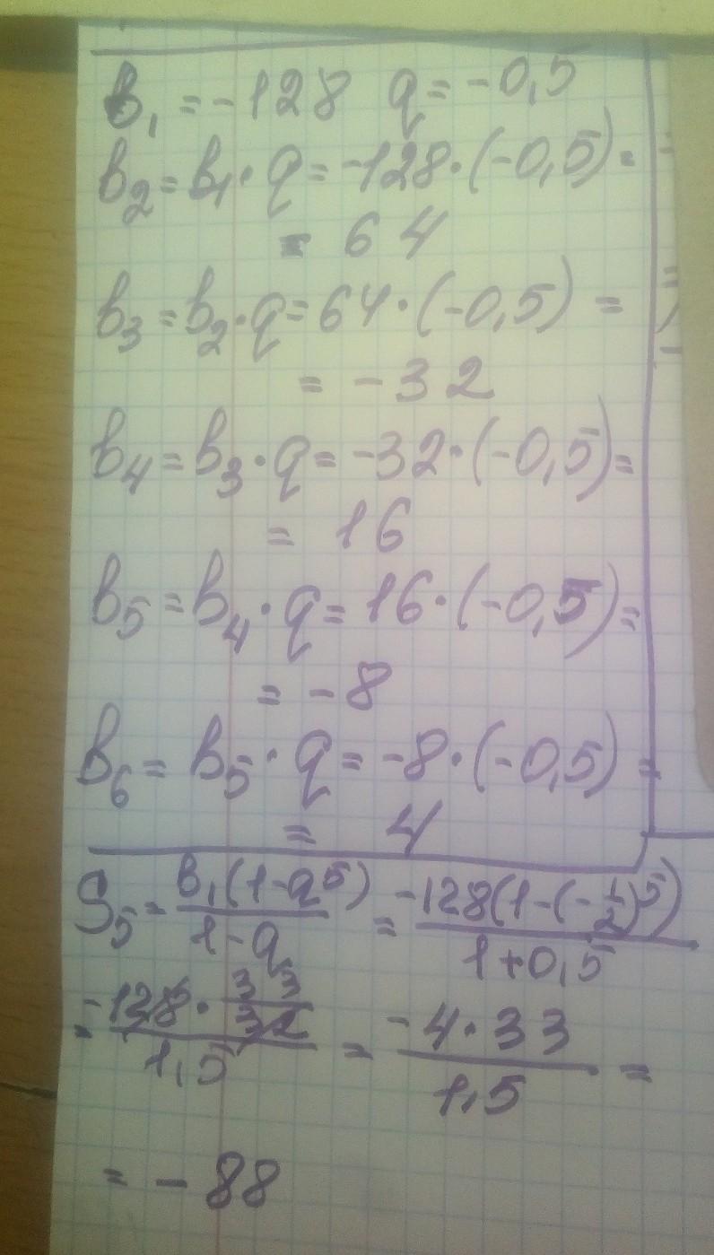
Вычисли первые пять членов геометрической прогрессии, если b1=−128 и q=−0,5.
даю 25 баллов
Приложения:
ildar502020:
Нет данных о геометрической прогрессии...???
есть
Ответы
Автор ответа:
1
Ответ:
решение смотри на фотографии
Приложения:
Похожие вопросы
Предмет: Русский язык,
автор: ИсмаиллыТамелла
Предмет: Русский язык,
автор: Александр1641
Предмет: Другие предметы,
автор: харун1
Предмет: Математика,
автор: Bembi29
Предмет: Алгебра,
автор: DJNCDr