Предмет: Математика,
автор: mradcAR
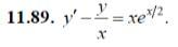
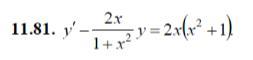
Решите эти линейные дифференциальные уравнения 1-го порядка.
Приложения:
Ответы
Автор ответа:
1
Ответ:
решение на фотографиях
Приложения:
Похожие вопросы
Предмет: Английский язык,
автор: Сын18
Предмет: Русский язык,
автор: Irinaaa1961
Предмет: Қазақ тiлi,
автор: Афоня51
Предмет: Математика,
автор: VladimirCsgo