Предмет: Алгебра,
автор: elodsdfjgsel
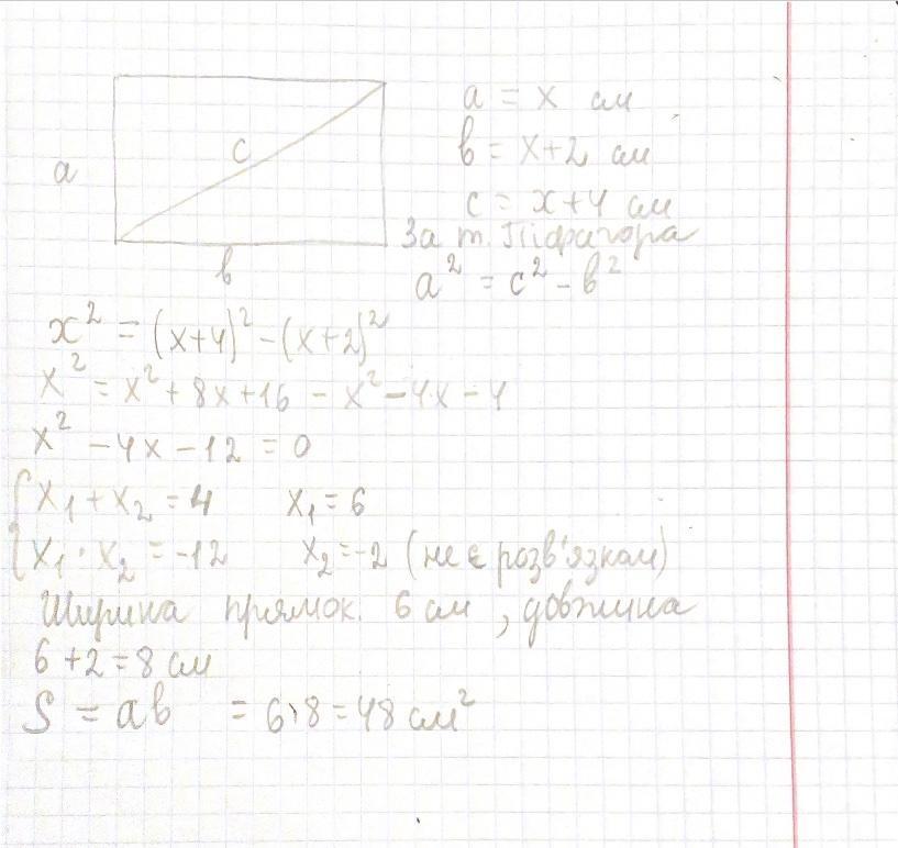
Ширина прямокутника на 2 см менша від довжини і на 4 см менша від його діагоналі. Знайдіть площу прямокутника
Ответы
Автор ответа:
0
Ответ:
48 см^2
Объяснение:
Приложения:
Похожие вопросы
Предмет: Английский язык,
автор: kfq57yus
Предмет: Русский язык,
автор: Аноним
Предмет: Окружающий мир,
автор: zadorozhnyh
Предмет: Математика,
автор: katjusa2000