Предмет: Математика,
автор: mariazamatkina938
решите пожалуйста срочно с решением
Приложения:
zlataganina:
Серьёзно за это 5 баллов
Ответы
Автор ответа:
2
Ответ:
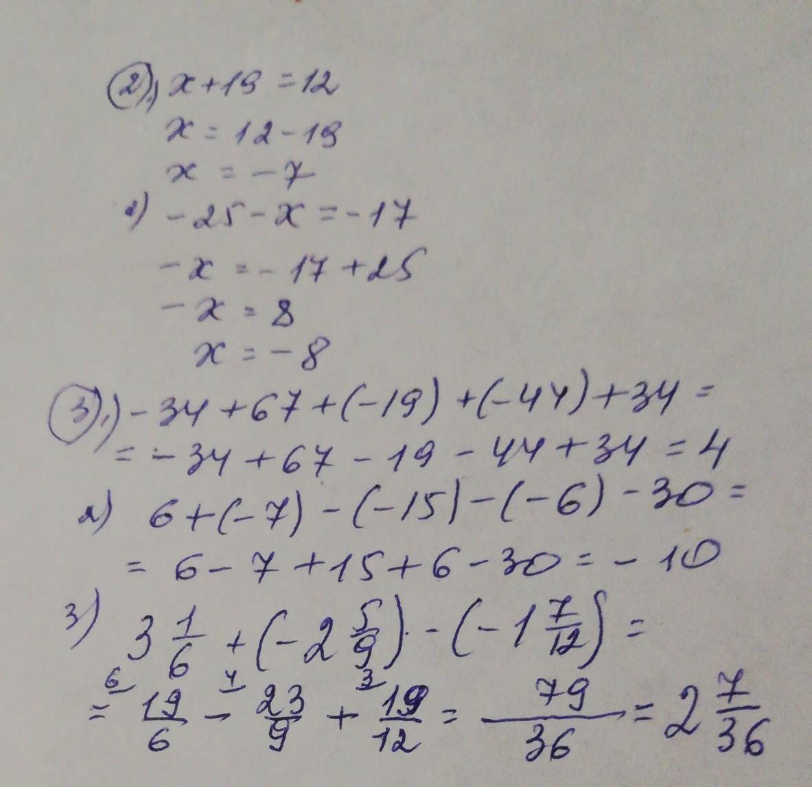
Смотри решение на фото
Приложения:
Автор ответа:
0
места не хватило еще отправить,попробую как нибудь
Приложения:
Похожие вопросы
Предмет: Українська мова,
автор: kotrus1998
Предмет: Українська мова,
автор: kotrus1998
Предмет: Английский язык,
автор: pozyvay98
Предмет: Биология,
автор: ermurqt
Предмет: Алгебра,
автор: Аноним