Предмет: Математика,
автор: Jengug
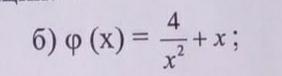
Помогите пожалуйста. Найдите производную функции. 11-10 класс
Приложения:
Ответы
Автор ответа:
1
Ответ:
Пошаговое объяснение:
Приложения:
Похожие вопросы
Предмет: Русский язык,
автор: aminca81
Предмет: Русский язык,
автор: elena20232011
Предмет: Английский язык,
автор: 12Ольчик
Предмет: История,
автор: pochta147369
Предмет: Математика,
автор: MasterBS