Предмет: Алгебра,
автор: alimovaanna78
даю 55 баллов, алгебра, пожалуйста, помогите
Приложения:
Ответы
Автор ответа:
0
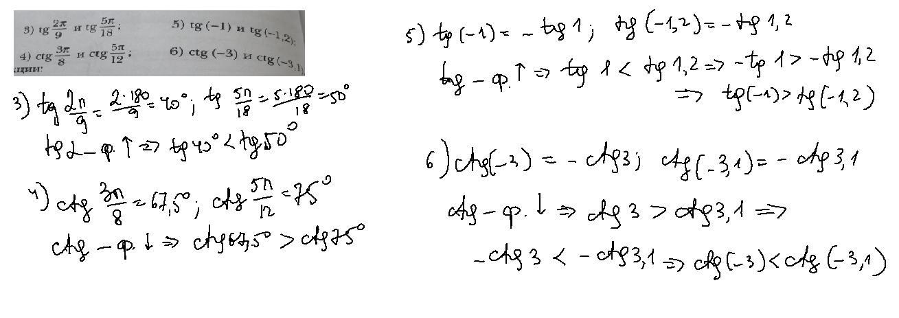
Ответ:
решение в прикрепленном фото
Объяснение:
Приложения:
Похожие вопросы
Предмет: Английский язык,
автор: Аноним
Предмет: Русский язык,
автор: tishhenko041
Предмет: Русский язык,
автор: kristel3118
Предмет: Геометрия,
автор: orskaya9999