Предмет: Алгебра,
автор: dimkavda
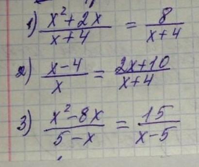
нужно полностью решить уравнения с пояснением и развёрнутым решением!
Приложения:
Ответы
Автор ответа:
1
Ответ:
1) (x²+2x)*(x+4)=8*(x+4)
x³+4x²+2x²+8x=8x+32
x³+6x²-32=0
x²(x+6)-32=0
x²-32=0. x+6=0; x=-6
(x-4)(x+8)=0
x-4=0. x+8=0
x=4. x=-8
2) (x-4)*(x+4)= x*(2x+10)
x²+4x-4x-16=2x²+10x
-x²-10x-16=0
x²+10x+16=0
D=100-64=√36=6
x12=-10±6/2
x1= -8
x2= -2
3) (x²-8x)*(x-5)=(5-x)*15
x³-5x²-8x²+40x=75-15x
x³-13x²+55x-75=0
x²(x-13)+5(11x-15)=0
(x²+5)(x-13)(11x-15)=0
x²+5=0.
x=∅
x-13=0
x=13
11x-15=0
11x=15
x=15/11
Похожие вопросы
Предмет: Алгебра,
автор: garpeya
Предмет: Геометрия,
автор: Полоска123
Предмет: Литература,
автор: egorshark17
Предмет: Английский язык,
автор: рабия14
Предмет: Русский язык,
автор: voronk068ko