Предмет: Алгебра,
автор: Chelovek3775543
Пожалуйста очень нужно!!
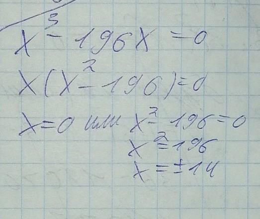
Реши уравнение,используя метод разложения на множители
Приложения:
Ответы
Автор ответа:
0
Ответ:
Решение представлено на фотографии
Приложения:
Похожие вопросы
Предмет: Математика,
автор: DenchikSuprayz
Предмет: Химия,
автор: LADYSHEVNINA
Предмет: Алгебра,
автор: DaitoIsami
Предмет: Математика,
автор: Мара2010