Предмет: Математика,
автор: baranovadasha2006
срочно, 8 класс
№1 и если не сложно, то уравнение под буквой а, но но очень нужно первое, извините, что так мало баллов)
Приложения:
Ответы
Автор ответа:
0
Ответ:
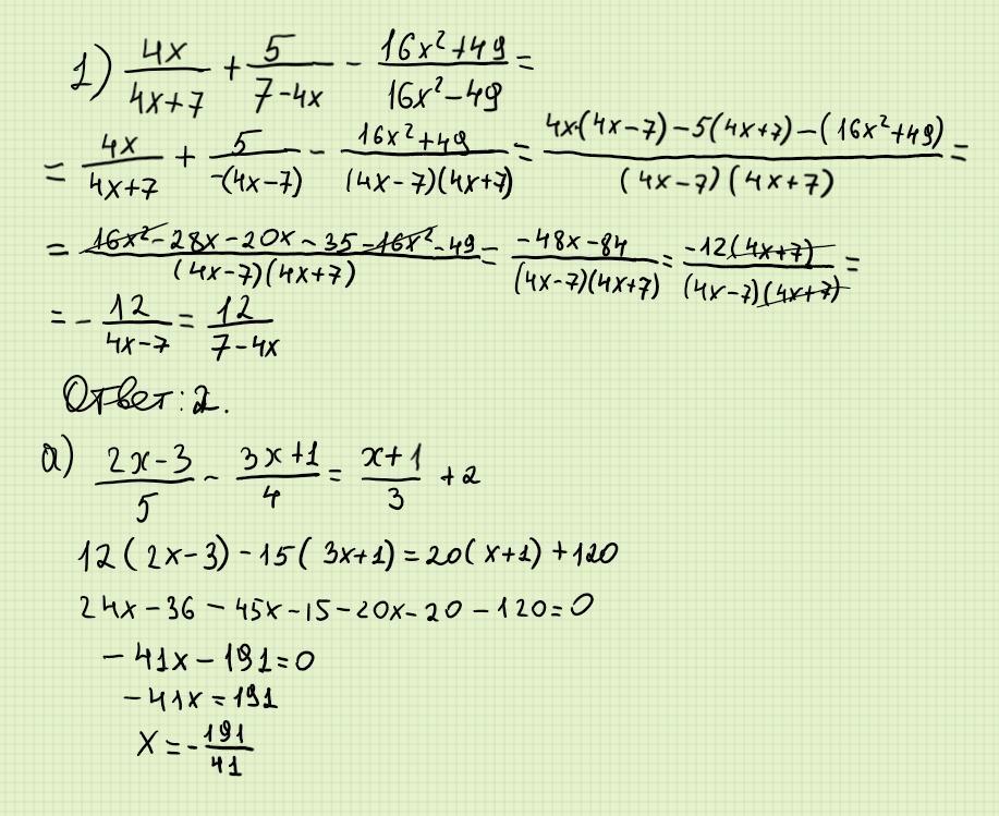
На скрине
Пошаговое объяснение:
Приложения:
Похожие вопросы
Предмет: Химия,
автор: Kat1488
Предмет: Математика,
автор: дашаDacha
Предмет: Алгебра,
автор: vsaske
Предмет: Обществознание,
автор: Quintis
Предмет: Математика,
автор: batyr411