Предмет: Алгебра,
автор: antohaburda2006
Алгебра срочно даю кучу баллов
Приложения:
Ответы
Автор ответа:
1
Ответ:
-3
Объяснение:
(x - 1)^4 - x² + 2x - 13 = 0
(x - 1)^4 - x² + 2x - 1 - 12 = 0
(x - 1)^4 - (x - 1)² - 12 = 0
Заменим (x - 1)² = t
t² - t - 12 = 0
D = 1 + 48 = 49
t = ( 1 ± √49)/2
t1 = -3; t2 = -4
(x - 1)² = -3 - решения в действительных числах нет
(x - 1)² = 4
x - 1 = ±2
x1 = 3; x2 = -1
x1*x2 = 3 * (-1) = -3
Ифигения:
Хах, я намудрила, с утра не сразу сообразила, что проще сделать заменой... Главное, приходила к тому уравнению, но задумалась и решила по старинке.
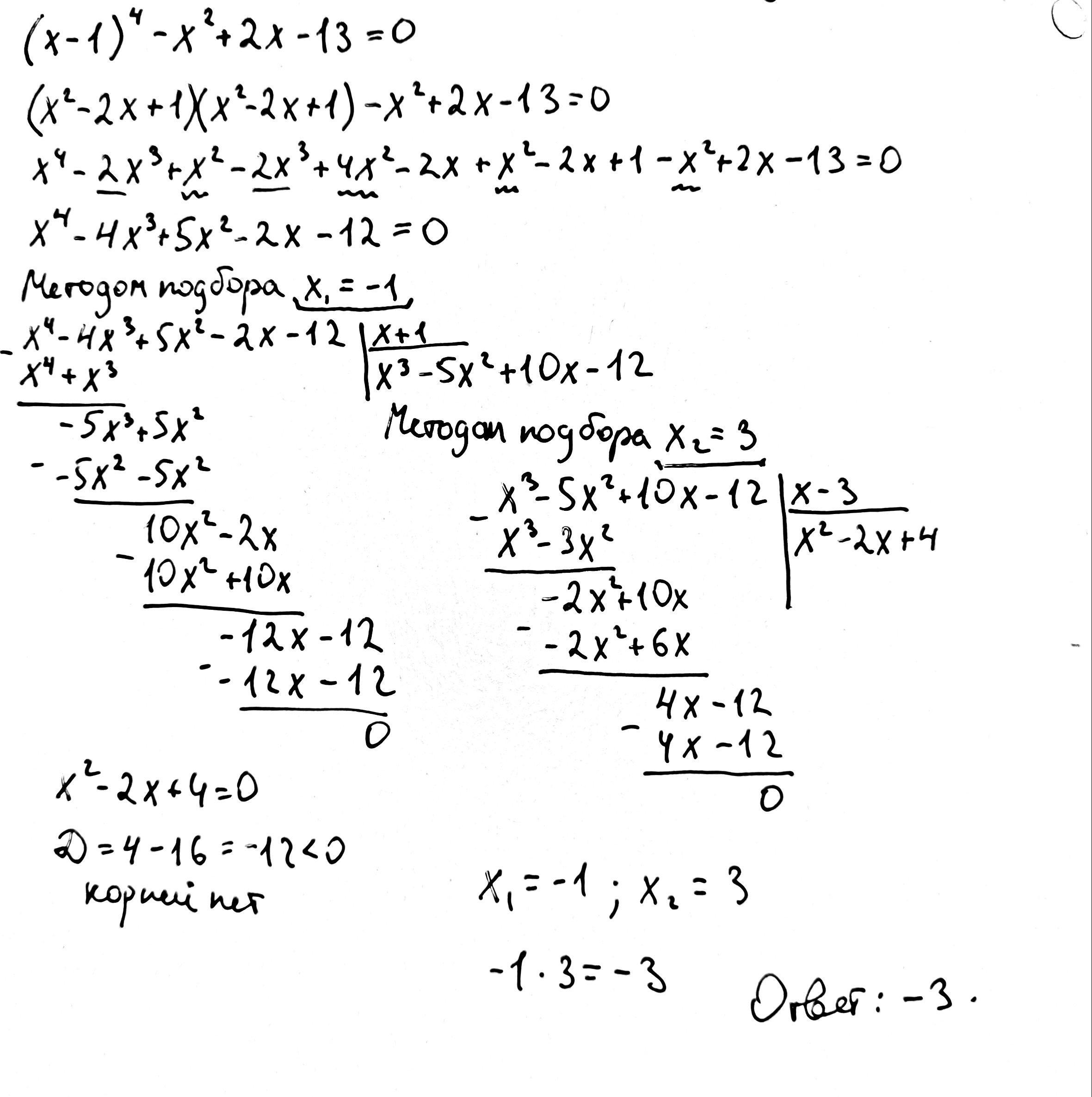
Автор ответа:
0
Ответ: -3
Объяснение:
Во вложении
Приложения:
Похожие вопросы
Предмет: Математика,
автор: annie97horan
Предмет: Русский язык,
автор: nataплюс
Предмет: Алгебра,
автор: annyta555
Предмет: Математика,
автор: Anna20042012