Предмет: Алгебра,
автор: Selfnclosed

Представьте выражение в виде дроби
Ответы
Автор ответа:
1
Автор ответа:
0
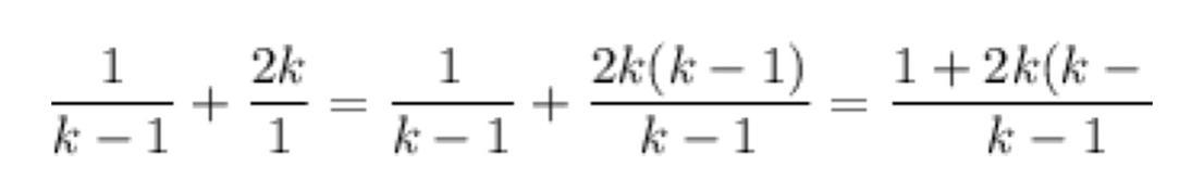
Ответ в фотографии
Обьясняние:
Обьясняние:
Приложения:
Похожие вопросы
Предмет: Химия,
автор: varyaisaeva
Предмет: Литература,
автор: астх
Предмет: Русский язык,
автор: Katrina2104
Предмет: История,
автор: osheefit
Предмет: Алгебра,
автор: PolinaKoshkova