Предмет: Алгебра,
автор: akhrapkovska
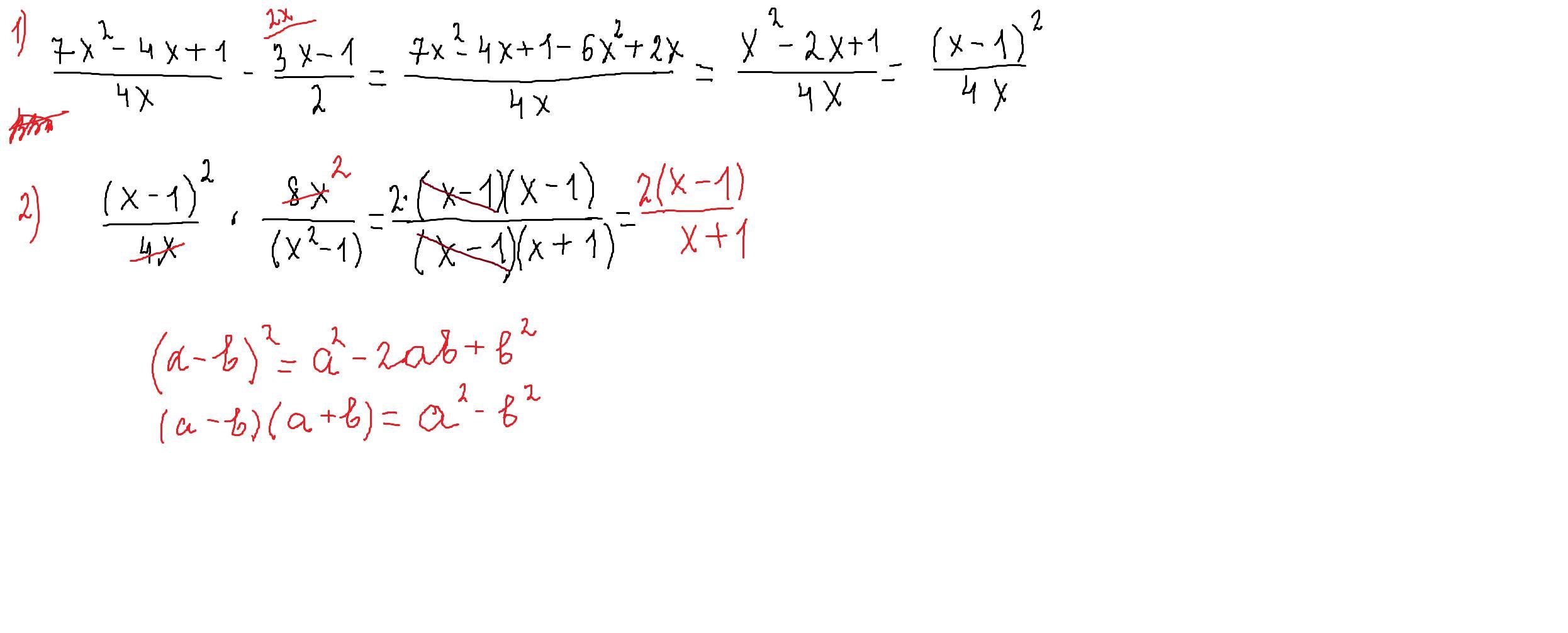
Решить данное уравнение по действиям.
Приложения:
Ответы
Автор ответа:
1
Ответ:
Объяснение:
решение по действиям смотри внизу
Приложения:
akhrapkovska:
Спасибо!
Похожие вопросы
Предмет: Другие предметы,
автор: kosha0087
Предмет: Химия,
автор: falinaas
Предмет: История,
автор: Светлана654
Предмет: Математика,
автор: WhiteFoxYT
Предмет: Русский язык,
автор: Сана12345678901