Предмет: Алгебра,
автор: gamehag
Срочно!!!
Поможете Пожалуйста
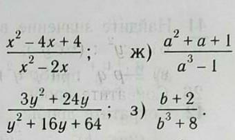
Только Сократите дроби
Заранее спасибо⊂(◉‿◉)つ
Приложения:
Ответы
Автор ответа:
1
Сделай лучший ответом плиз
Приложения:
Автор ответа:
1
Ответ:
Объяснение:
решение внизу
Приложения:
Похожие вопросы
Предмет: Математика,
автор: Knyaskina
Предмет: История,
автор: ylianahripynov
Предмет: Химия,
автор: daiana906
Предмет: Английский язык,
автор: Полукровка2
Предмет: Литература,
автор: МарияЩ11