Предмет: Геометрия,
автор: ЛЛайт
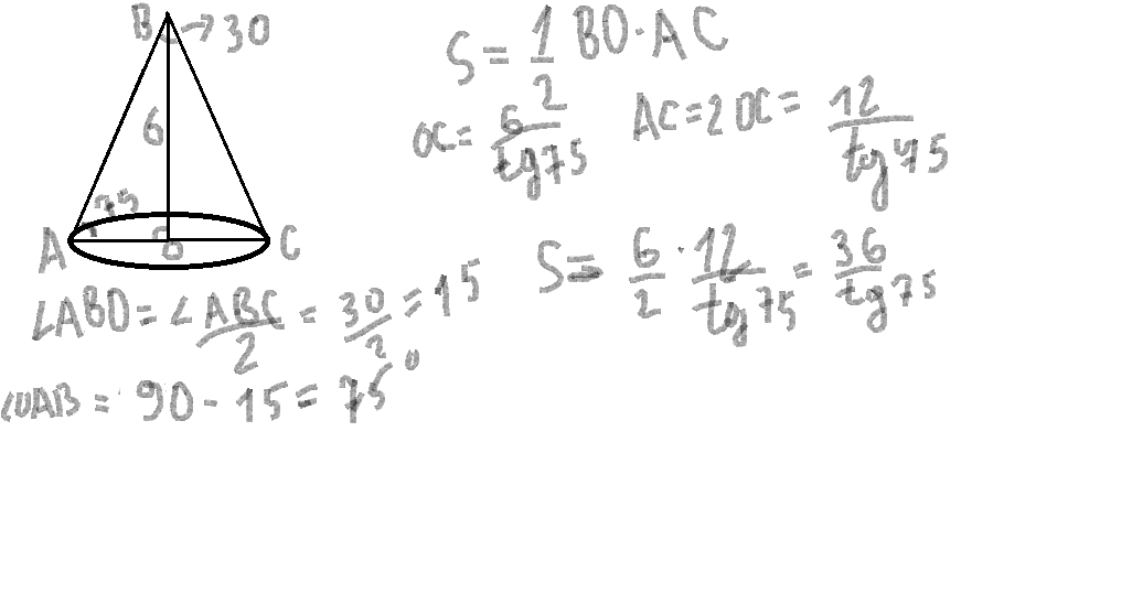
высота конуса равна 6 см, угол при вершине осевого сечения равен 90 градусов. найдите площадь сечения, проходящего через 2 образующие ,угол между которыми равен 30 градусов и площадь боковой поверхности. Пожалуйста,очень срочно и решение с рисунком.
Ответы
Автор ответа:
0
Как то так только там тангес75 нужно посчитать и все, а решается примерно так)
Приложения:
Похожие вопросы
Предмет: Биология,
автор: ilasbektasov97
Предмет: Химия,
автор: ki12372
Предмет: Қазақ тiлi,
автор: aynuroraztay
Предмет: Математика,
автор: wizit
Предмет: Алгебра,
автор: super1997