Предмет: Математика,
автор: Аноним
Умножение многочлена на многочлен
Помогите пожалуйста срочно
Приложения:
Ответы
Автор ответа:
1
Ответ:
Пошаговое объяснение:
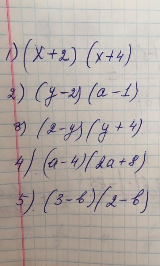
1) x^2+6x+8
2) ay-y-2a+2
3) -2y+8-y^2
4) 2a^2-32
5) 6-5b+b^2
Похожие вопросы
Предмет: Русский язык,
автор: ksusha200342
Предмет: Алгебра,
автор: laralanina73
Предмет: История,
автор: Kirillruss
Предмет: Алгебра,
автор: Kate4658
Предмет: Физика,
автор: Артем1й