Предмет: Математика,
автор: uzeru1644
Срочно, пожалуйста
Там в конце знак больше или равно 0
Приложения:
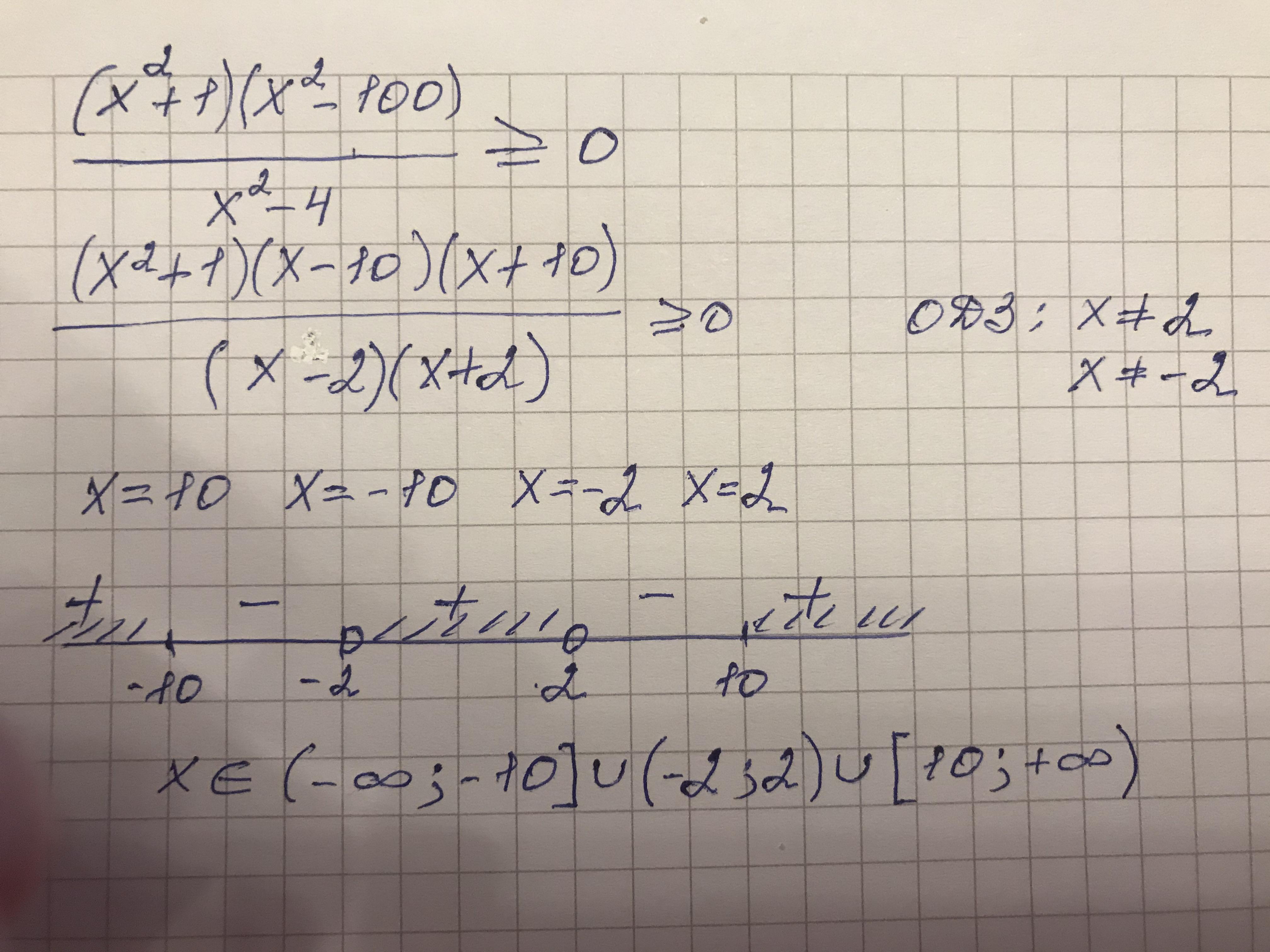
Ответы
Автор ответа:
1
Ответ:
=============================
Пошаговое объяснение:
Приложения:
Похожие вопросы
Предмет: Русский язык,
автор: shurabiserov
Предмет: Геометрия,
автор: Ира1508
Предмет: Математика,
автор: gadila88
Предмет: Алгебра,
автор: sashadikaia
Предмет: Математика,
автор: vipkirino