Предмет: Математика,
автор: dan555f
ПОМОГИТЕ, ОЧЕНЬ ПРОШУ!
ЭТО ОЧЕНЬ ВАЖНО И СРОЧНО (осталось 30 минут), ПОЖАЛУЙСТА!!
Отдаю все баллы, которые остались...
Приложения:
Ответы
Автор ответа:
1
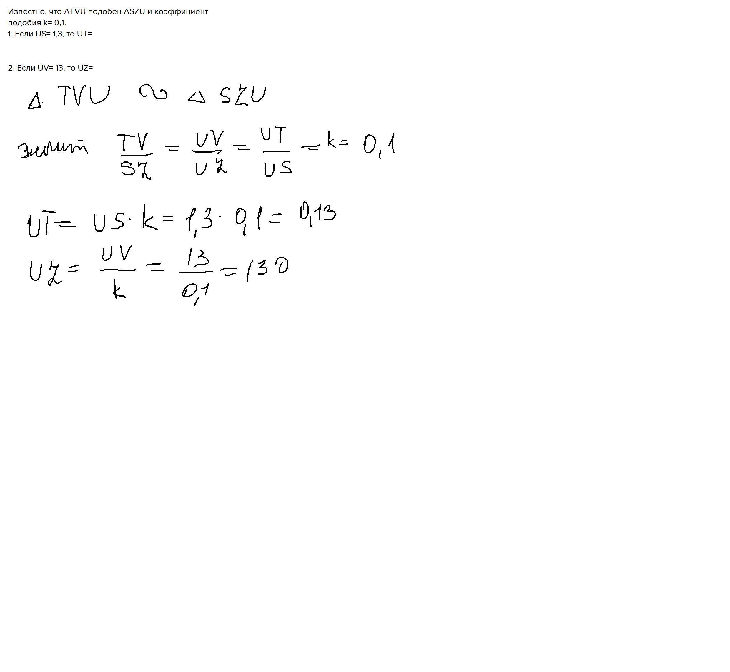
Ответ:
Пошаговое объяснение:
Приложения:
Похожие вопросы
Предмет: Русский язык,
автор: malaev958
Предмет: Химия,
автор: misgan22
Предмет: Физика,
автор: fiti01
Предмет: Математика,
автор: Аноним