Предмет: Математика,
автор: Аноним
Помогите пожалуйста решить задачу:
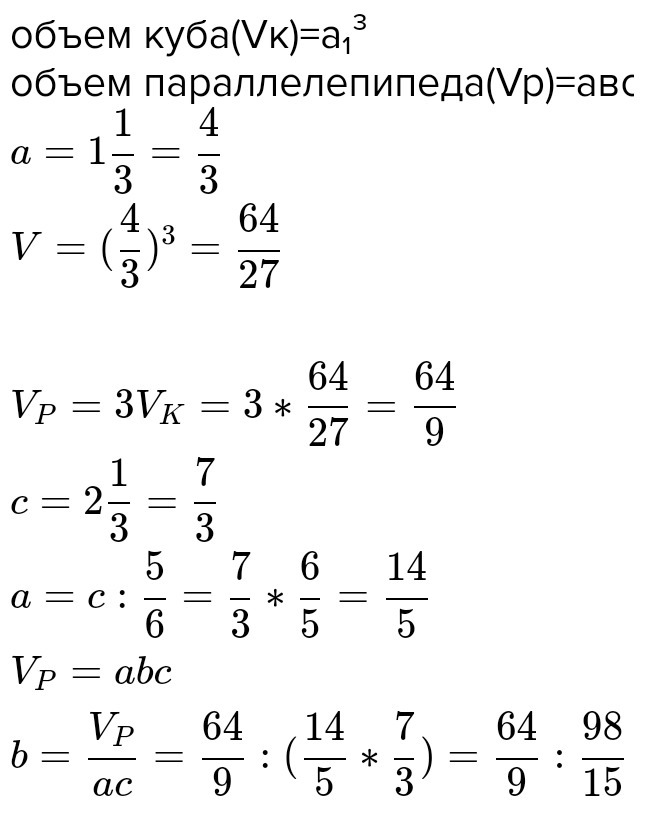
Объем прямоугольного параллелепипеда в 1 целую 1/2 раза больше объема куба с ребром 1 целая 1/3 м. Ширина прямоугольного параллелепипеда, равная 1 целая 1/5 м, составляет 3/10 его длинны. Найди высоту параллелепипеда.
Ответы
Автор ответа:
0
вот. Прастите тут должно 20 знаков
Приложения:
Похожие вопросы
Предмет: Обществознание,
автор: Аноним
Предмет: Химия,
автор: poslannica
Предмет: Українська мова,
автор: anabibik4
Предмет: Геометрия,
автор: sonya1311
Предмет: История,
автор: ISYSUA