Предмет: Математика,
автор: stascomua12
Помогите пж решить математика экзамен
Приложения:
Ответы
Автор ответа:
1
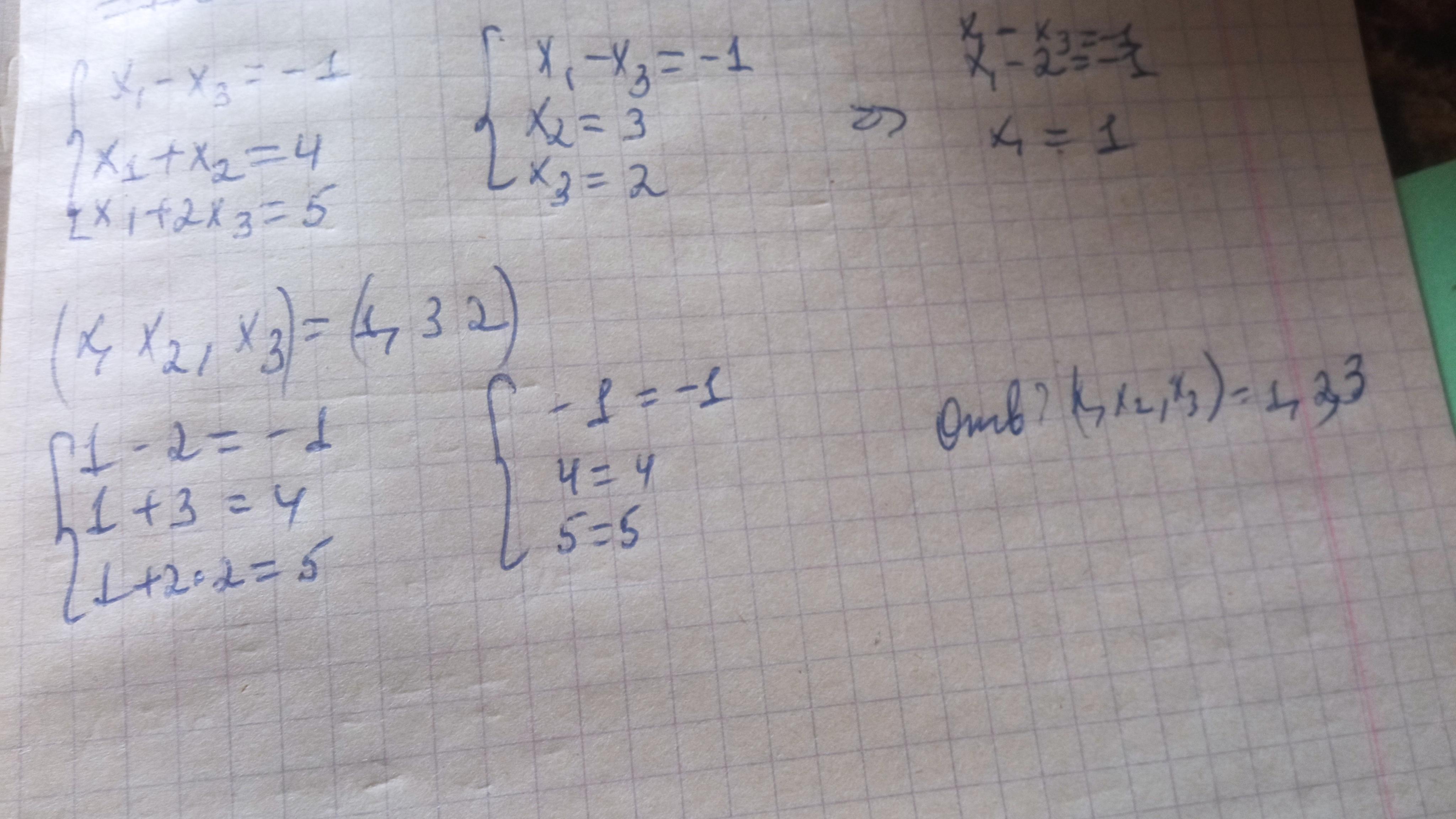
Ответ:
Пошаговое объяснение:
Приложения:
Похожие вопросы
Предмет: Русский язык,
автор: sergeiglobenko
Предмет: География,
автор: никита2002002
Предмет: Математика,
автор: lomalena32
Предмет: Математика,
автор: диана2373
Предмет: Математика,
автор: cloveellington