Предмет: Математика,
автор: viennabacker
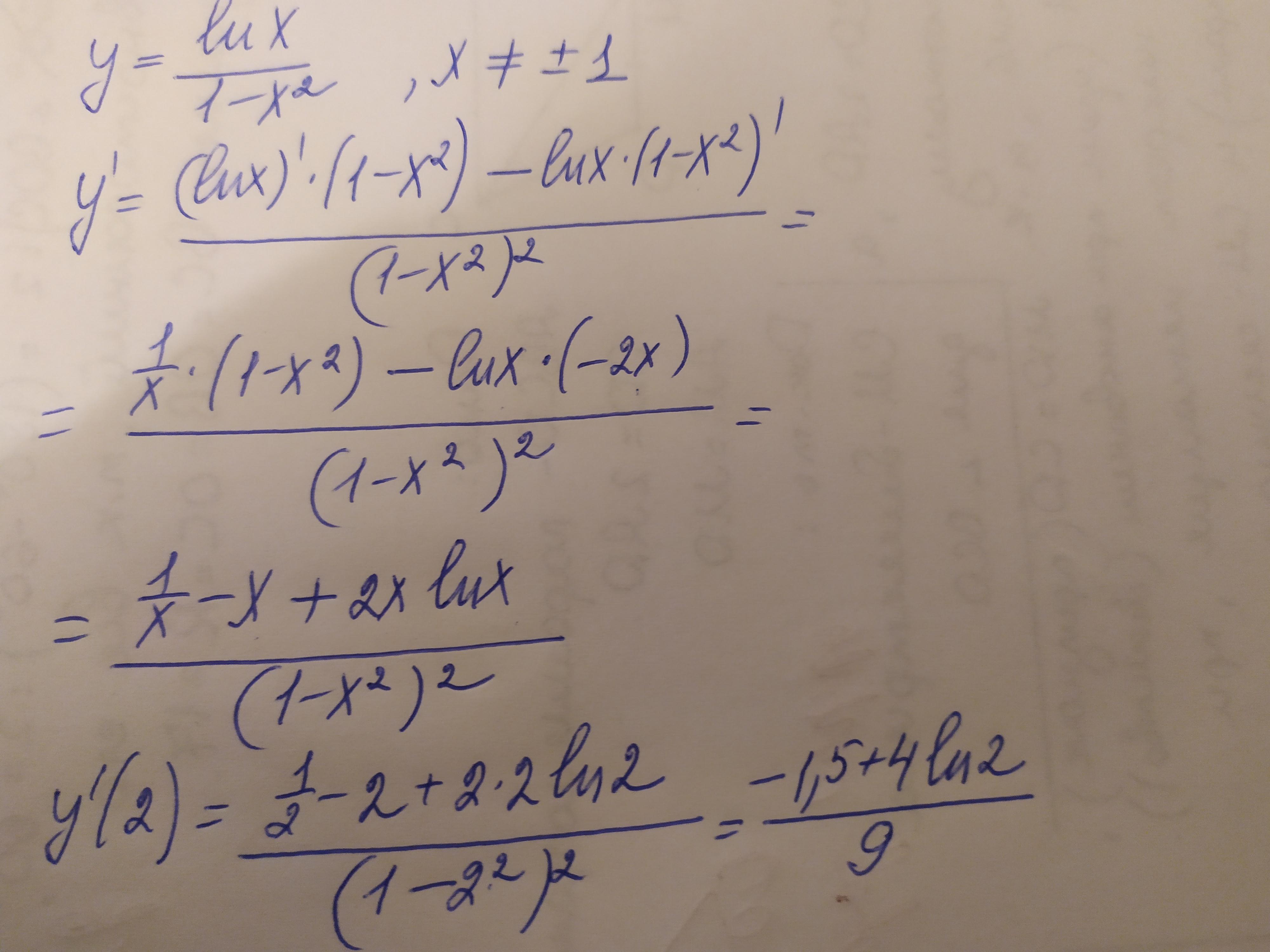
найти производную функции
y=ln x/1-x2 и вычислить y'(2)
срочно,отдам все баллы последние,помогите
Ответы
Автор ответа:
2
Ответ:
Пошаговое объяснение:
Приложения:
viennabacker:
спасибооо
Похожие вопросы
Предмет: Математика,
автор: svetanazaruk77
Предмет: Українська мова,
автор: merom
Предмет: Русский язык,
автор: Аноним
Предмет: Геометрия,
автор: themomercy
Предмет: Геометрия,
автор: gorelickowa2017