Предмет: Математика, автор: IMPERIAL55

Не могу решить уравнение (2+√3x)×(1-√3x)=1-3x


Можете помочь? Главное — понять, как решаются эти уравнения, потом справлюсь сам.


onetfriend: просто раскрывайте скобки. перемножая последовательно
gaforovmuhammadosimh: прости ----=1-9x^2
IMPERIAL55: Последовательно перемножил, получается 2+√3x-√3x=1-3х, а что делать дальше?

Ответы

Автор ответа: gaforovmuhammadosimh
0

Пошаговое объяснение:

((2+/3x)×(1-/3x))^2=(1-3x)^2

(4+3x)×(1-3x)=1-9x^2 ну так и продолжай


gaforovmuhammadosimh: нуу решено или нет
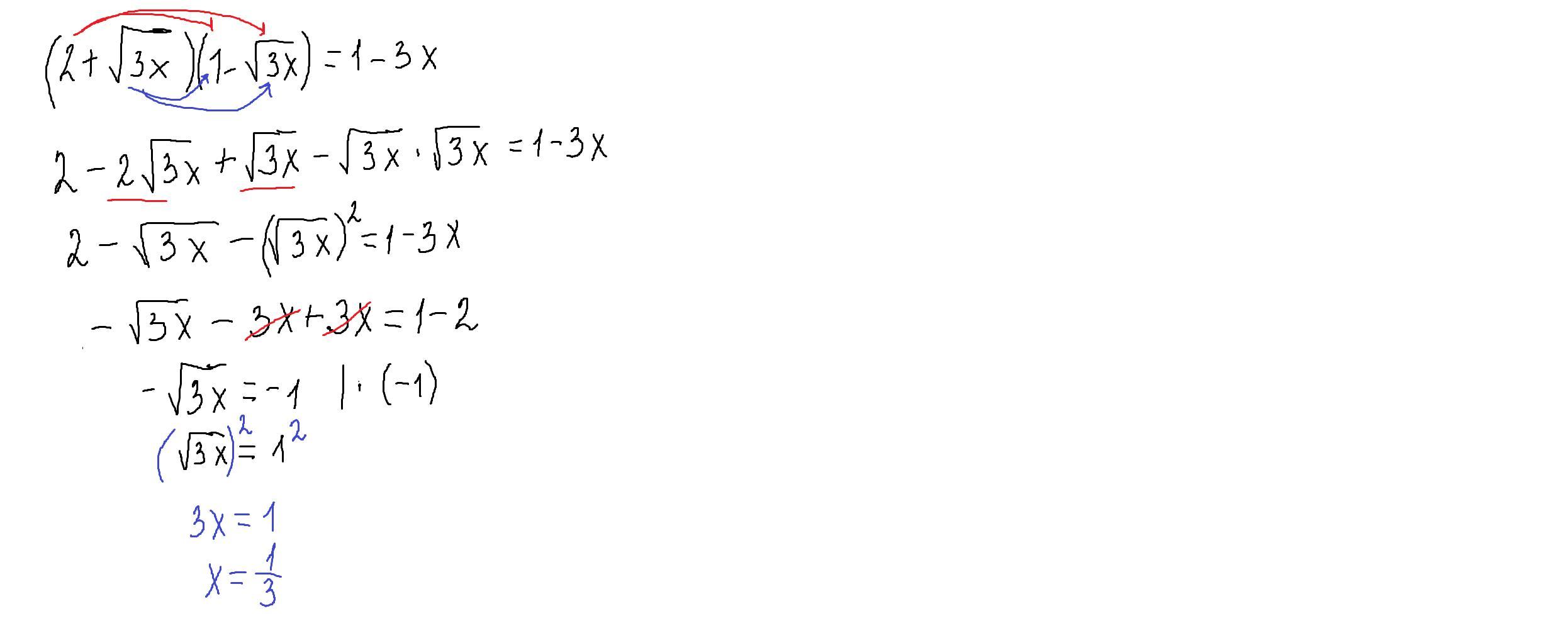
Автор ответа: parus77
1

Ответ:

х=1\3

Пошаговое объяснение:

решение расписала внизу,если где то непонятно -спрашивай

Приложения:

IMPERIAL55: Четвертый шаг не понял, на что надо умножить или поделить две части уравнения?
onetfriend: на минус 1. Просто меняется знак с обеих сторон. обе части можно просто переставить местами относительно = , даст тот же эффект
Похожие вопросы
Предмет: Русский язык, автор: hleblalala
За­да­ние 4 № 4876. Из пред­ло­же­ний 10—11 вы­пи­ши­те слово, в ко­то­ром пра­во­пи­са­ние при­став­ки за­ви­сит от глу­хо­сти/звон­ко­сти со­глас­но­го звука, обо­зна­чен­но­го сле­ду­ю­щей после при­став­ки бук­вой.

Вни­ма­ние: за­да­ние со­дер­жит ДВА вер­ных от­ве­та.
Ис­прав­лен­ный ва­ри­ант за­да­ния: Из пред­ло­же­ний 10—11 вы­пи­ши­те словА, в ко­то­рЫХ пра­во­пи­са­ние при­став­ки за­ви­сит от глу­хо­сти/звон­ко­сти со­глас­но­го звука, обо­зна­чен­но­го сле­ду­ю­щей после при­став­ки бук­вой.

(1)Од­на­ж­ды папа при­гла­сил меня на празд­нич­ный вечер в боль­ни­цу, то есть к себе на ра­бо­ту… (2)Я со­гла­сил­ся: я сразу по­чув­ство­вал себя как-то уве­рен­ней и взрос­лее.
(3)В зале, укра­шен­ном пла­ка­та­ми и цве­та­ми, ни од­но­го школь­ни­ка, кроме меня, не было, по­это­му на меня все об­ра­ща­ли вни­ма­ние. (4)Мно­гие под­хо­ди­ли к папе и, ста­ра­ясь сде­лать ему при­ят­ное, го­во­ри­ли, что я на него очень похож.
— (5)Сей­час мы по­го­во­рим о луч­ших людях нашей боль­ни­цы, — ска­зал папин на­чаль­ник в мик­ро­фон. — (6)Мы при­гла­си­ли сюда наших быв­ших боль­ных. (7)Пусть они ска­жут…
(8)Я при­сталь­но огля­дел­ся, но не смог от­ли­чить быв­ших боль­ных от про­сто здо­ро­вых. (9)Тут к три­бу­не за­ша­гал огром­ный муж­чи­на. (10)Мне по­ка­за­лось, что здо­ро­вее его в зале не было ни од­но­го че­ло­ве­ка.
(11)Раз­гля­дев его, я вспом­нил этого быв­ше­го па­пи­но­го па­ци­ен­та. (12)«Если бы мне уда­лось по­ста­вить Ан­дрю­шу на ноги!» — когда-то го­во­рил папа. (13)Ему уда­лось…
— (14)Я играю в хок­кей! — ска­зал Ан­дрю­ша. — (15)А по­то­му, что есть на свете такой че­ло­век…
(16)И ещё двое быв­ших боль­ных ска­за­ли, что с по­мо­щью папы они «вто­рой раз ро­ди­лись». (17) Все в зале за­ап­ло­ди­ро­ва­ли, а я за­вол­но­вал­ся. (18)За папу…
(19)Я сидел и делал фан­та­сти­че­ские пред­по­ло­же­ния. (20)«Если бы вдруг я учил­ся на одни пятёрки и меня бы стали хва­лить на школь­ном со­бра­нии, мно­гим ре­бя­там это бы не по­нра­ви­лось». (21)А тут все врачи, медсёстры и ня­неч­ки так улы­ба­лись, слов­но им самим за что-то го­во­ри­ли спа­си­бо.(22)«По­че­му?» — думал я.
(23)Когда вечер за­кон­чил­ся и мы спу­сти­лись вниз, к папе вдруг под­бе­жал за­пы­хав­ший­ся муж­чи­на в белом ха­ла­те и что-то шеп­нул на ухо.
— (24)Про­во­ди­те, по­жа­луй­ста, моего сына… — по­про­сил папа Ан­дрю­шу и по­бе­жал вслед за муж­чи­ной в белом ха­ла­те.
— (25)Опять спа­сать кого-ни­будь будет… — ска­зал Ан­дрю­ша.
(26)Под­хо­дя к на­ше­му дому, он не удер­жал­ся и за­ме­тил:
— (27)А ты похож на отца!
(28)Ска­зал так, будто на­гра­дил меня. (29)А я в ту ми­ну­ту по­ду­мал, что, на­вер­ное, похож на папу толь­ко с виду, внеш­не… (30)«А чтобы быть на него по­хо­жим по-на­сто­я­ще­му, — думал я, — мне ещё мно­гое надо сде­лать!»
СРОЧНО